Abstract
Background:
Сluster of differentiation 14 (CD14) is a specific high-affinity receptor for lipopolysaccharides (LPSs) on monocytes, macrophages and granulocytes. Soluble CD14 subtype (sCD14-ST, Presepsin) is a shortened soluble N-terminal fragment of CD14. Levels of sCD14-ST have a strong correlation with severe bacterial infection which can be used as diagnostic tool. However, CD14 recognize not only LPS, but also a variety of ligands associated also with Gram-positive bacteria, fungi, and viruses. Here we report data about impact of C.albicans antigens on monocytes and presepsin level in vitro .
Donors and Methods:
Peripheral Blood Mononuclear Cells (PBMCs) from 19 healthy volunteers (12 women,7 men, age 20-38, median 28 years) were isolated on media gradient Fiqoll-Histopaque (p=1.077 g/ml) by standard protocol. Fraction of monocytes in PMBC was defined by light scatter properties on flow cytometry (BD FACS Canto II, USA). PBMCs with 0.5 x 106 of monocytes in RPMI-1640 (with 10% of autologous serum) were incubated in 5% CO2, 370C with LPS (GIEM, Moscow, Russia) at the final concentration - 1 µcg/ml ("LPS" tube); with Candida albicans lysates (Sanum-Kehlbeck GmbH & Co, Germany) at the final concentration 200 ng/ml (" C.albicans " tube) and control tube with RPMI-1640 (with 10% of autologous serum) and without PMBC ("Serum" tube). Twenty-four hours and 48 hours after stimulation a 150 µL-samples were collected and centrifuged. Presepsin concentration were measured using a chemiluminescent enzyme immunoassay method, performed on PATHFAST analyzer (Mitsubishi Chemical Medience Corporation, Tokyo, Japan). Mann-Whitney U test was used for nonparametric data analysis between two groups. Wilcoxon signed-rank test was used to compare repeated measures. A p-value less than 0.05 was considered as significant.
Results:
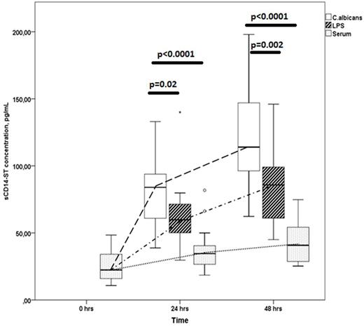
Median (with ranges) of sCD14-ST concentration 24 hours after beginning of stimulation was 59,8 pg/ml (29,7-140), 84 pg/ml (38,8-133) and 34,6 pg/ml (18,5-81,8) for "LPS", " C.albicans " and "Serum" tube respectively. 48 hours after beginning of stimulation sCD14-ST concentration increased to 85,8 pg/ml (45-146), 114 pg/ml (62,3-198) and 40,8 pg/ml (25,3-74,8) also for "LPS", " C.albicans " and "Serum" tube respectively. According to our data (see Figure 1), the level of sCD14-ST in supernatant after 24 and 48 hours in « C.albicans » tube was significantly higher than in «LPS» (p <0.05) and in serum tube (p<0.0001).
Conclusion:
Here we report data about impact of C.albicans antigens on monocytes and sCD14-ST level in vitro . Obtained data show us that not only bacterial infection can lead to increased level of sCD14-ST (Presepsin) and lead us to preposition that extra-high level of sCD14-ST (Presepsin) can be found in patients with severe fungal infections.
No relevant conflicts of interest to declare.
Author notes
Asterisk with author names denotes non-ASH members.
